近日,草莓视频
能源与环境岩土工程创新团队石吉森博士在国际岩土力学领域期刊《International Journal for Numerical and Analytical Methods in Geomechanics》(中科院2区期刊,影响因子3.6)发表了题为“Effect of Anisotropic Behavior of Soft Clay on the NonlinearConsolidation of Composite Pile-Improved Soft GroundConsidering Size and Rotational Hardening”的最新研究成果。草莓视频
为论文第一署名单位,石吉森为论文第一作者,李西斌教授为通讯作者,郭瑞琦、李登国为共同作者。
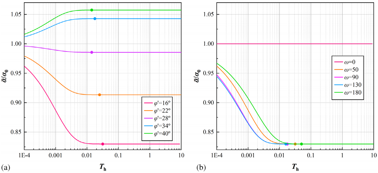
该研究针对软土地基稳定性和承载能力不足的难题,提出了一个考虑周围软土各向异性特性的复合桩加固地基的解析固结模型。该模型基于等应变假设建立,适合于路堤或筏形基础等刚性荷载平台下的情况。采用环空等效法来适应复合桩截面几何形状的实际变化。使用与S-CLAY1模型一致的屈服函数来描述周围土壤的力学行为,其中屈服表面被描述为一个倾斜的椭圆,以表示固有的各向异性。结合软土的尺寸硬化规律和旋转硬化规律,描述了软土各向异性的演化过程。采用分离变量法推导了瞬时加载和斜坡加载方案的固结解。通过与几种已建立的复合地基分析固结模型的比较,验证了该模型的有效性。最后,进行了详细的参数化研究,探讨了关键各向异性参数对改良地基非线性固结行为的影响。
该研究首次基于解析模型研究了土壤各向异性对复合桩加固软土地基固结行为的影响,为复合桩加固地基工程的优化设计提供了理论依据。


各向异性对复合地基固结过程影响